√完了しました! (1-x^2)y''-2xy' 2y=0 235195-(1-x^2)y''-2xy'+2y=0 y1=x
Plot 3x^22xyy^2=1 WolframAlpha Natural Language Math Input Extended Keyboard Examples
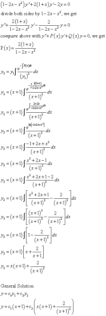
(1-x^2)y''-2xy'+2y=0 y1=x-This is not satisfactory since the expression 2y−1 2xy−e−2y depends on y We try µ= µ(y) Since the computations were not performed above, we do them from scratch (Mµ) y = (Nµ) x ⇔ µ yMµM y = µN xµ xN⇔ µ yMµM y = µN x ⇔ yµ yµ= 2yµ We obtain µ y = 2y−1 y µ, whichExaminedefiniteness of x ^2 2xy y ^2 z ^2 subject to x 2y z = 0 and 2xy3z=0 2 Let f be defined for all x;
(1-x^2)y''-2xy'+2y=0 y1=xのギャラリー
各画像をクリックすると、ダウンロードまたは拡大表示できます
![]() | ![]() | |
![]() | ![]() | |
![]() | ||
![]() | ![]() | ![]() |
「(1-x^2)y''-2xy'+2y=0 y1=x」の画像ギャラリー、詳細は各画像をクリックしてください。
![]() | ![]() | |
![]() | ||
「(1-x^2)y''-2xy'+2y=0 y1=x」の画像ギャラリー、詳細は各画像をクリックしてください。
![]() | ![]() | ![]() |
![]() | ||
![]() | ![]() | |
![]() | ||
「(1-x^2)y''-2xy'+2y=0 y1=x」の画像ギャラリー、詳細は各画像をクリックしてください。
![]() | ![]() | ![]() |
![]() | ||
![]() | ![]() | |
「(1-x^2)y''-2xy'+2y=0 y1=x」の画像ギャラリー、詳細は各画像をクリックしてください。
![]() | ||
![]() | ![]() | |
![]() | ||
「(1-x^2)y''-2xy'+2y=0 y1=x」の画像ギャラリー、詳細は各画像をクリックしてください。
![]() | ||
![]() | ![]() | ![]() |
![]() | ![]() | |
「(1-x^2)y''-2xy'+2y=0 y1=x」の画像ギャラリー、詳細は各画像をクリックしてください。
![]() | ||
![]() | ||
![]() | ![]() | |
「(1-x^2)y''-2xy'+2y=0 y1=x」の画像ギャラリー、詳細は各画像をクリックしてください。
![]() | ![]() | |
![]() | ![]() | |
![]() | ![]() | ![]() |
![]() | ![]() | |
「(1-x^2)y''-2xy'+2y=0 y1=x」の画像ギャラリー、詳細は各画像をクリックしてください。
![]() | ![]() | ![]() |
Simple and best practice solution for X^22xy2y^2xy1=0 equation Check how easy it is, and learn it for the future Our solution is simple, and easy to understand, so don`t hesitate to use it as a solution of your homework We can use an integrating factor when we have a First Order Linear nonhomogeneous Ordinary Differential Equation of the form;
Incoming Term: (1-x^2)y''-2xy'+2y=0, (1-x^2)y''-2xy'+2y=0 power series, (1-x^2)y''-2xy'+2y=0 y1=x, (1-x^2)y''-xy'+x^2y=0, (1+x^2+y^2x^2y^2)^1/2+xy dy/dx=0, (1+x^2y^2)y+(xy-1)^2xy'=0, (1-x2)y''-2xy'+2y=0,

















































Komentar
Posting Komentar